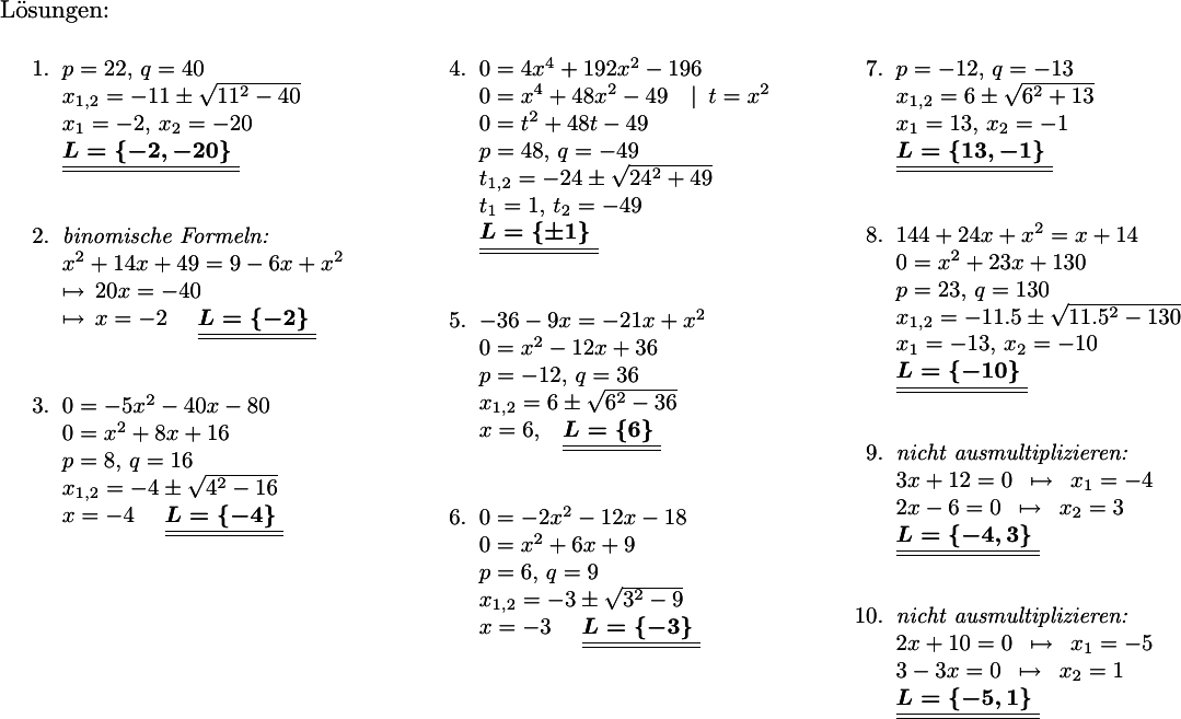
Lösen Sie die angegebenen quadratischen Gleichungen:

Datenschutzhinweis: Diese Seiten verarbeiten - abgesehenen von allgemeinen Logdaten des Webservers - keinerlei personenbezogenen Daten ihrer Nutzer. Zu den allgemeinen Logdaten bitte die Datenschutzerklärung unserer Homepage beachten.